بحث عن المركبات الكيميائي وورد doc

فصل 1/6المركب الكيميائي
هو مادة كيميائية تكونت من عنصرين أو أكثر، بنسبة ثابتة تحدد تركيبه. فمثلا الماء (H2O) مركب يتكون من الهيدروجين والأكسجين بنسبة 1:2.
وبصفة عامة فإن هذه النسبة يجب أن تكون ثابتة لبعض الاعتبارات الفيزيائية، وليس طبقا للاختيارات البشرية. ولهذا السبب فإن المواد مثل النحاس الأصفر تعتبر سبيكة وليست مركب.
ومن الخواص المميزة للمركب أن له بنية كيميائية مميزة يعبر عتها عن طريق صيغة جزيئية. تصف هذه الصيغ نسبة الذرات الموجودة به، وعدد الذرات الموجودة في جزيء واحد من المادة، وعلى هذا فيكون شكل الإيثان C2H4 وليس CH2). ويمكن عن طريق معرفة تلك الصيغ حساب الكتلة المولية للمركب. توجد عدة معرفات لتمييز المركبات الكيميائية منها رقم CAS (رقم لتعريف كل المركبات).
ويمكن للمركبات أن يكون لها حالات عديدة. معظم المركبات توجد في هيئة صلبة. كما أن المركبات الجزيئية يمكن أن توجد أيضا في حالة سائلة أو غازية.
أنواع المركبات
- أحماض
الحمض (إنجليزية : Acid) (يمثل عادة بالصيغة HA) هو أي مركب كيميائي، يكون عند انحلاله في الماء قادرا على تحرير شاردة الهيدروجين (البروتونات)(التي يرمز لها بذرات هيدروجين ذات شحنة إيجابية واحدة أو +1).
التعريف
عرفت الحموض في البداية بحسب خواصها العامة. فقد كانت موادا ذات طعم لاذع، تحل العديد من المعادن، وتتفاعل من القلويات (أو القواعد) لتكون الأملاح. لقد اعتقد لبعض الوقت، وبعد أعمال لافوازييه، أن المكون العام في جميع الحموض هو عنصر الأكسيجين، ولكن أصبح من الواضح تدريجيا أنه إذا كان هناك عنصرا أساسيا، فهو الهيدروجين وليس الأوكسجين. إن تعريف الحمض حقيقة صاغه ليبيغ في عام 1840 م، فقال “الحمض هو المادة الحاوية على الهيدروجين والتي من شأنها أن تولد غاز الهيدروجين عند تفاعلها مع المعادن”. وقد بقي هذا التعريف مرضٍ نحو 50 عاما.[1] هذا التعريف يقارب التعريف الحديث لبرونستد ومارتن لوري، اللذان عرفا على وجه منفصل الحمض كمركب يعطي شاردة الهيدروجين (H+) لمركب آخر (يسمى قاعدة أو أساس). وكمثال معروف عن الحموض، حمض الخل (الموجود في الخل) وحمض الكبريت (الموجود في بطارية السيارة). تختلف أنظمة حمض/قاعدة عن تفاعلات أكسدة-اختزال حيث لا تتغير حالة الأكسدة.
وتعرف المركبات أو المواد الكيميائية أنها حمضية إذا كان لها صفات الحمض.
مفاهيم
:تفاعل حمض-قلوي
إن الكيميائي السويدي سفانت أرينيوس هو أول من قرن خاصية الحموضة بالهيدروجين 1884[بحاجة لمصدر]. حمض أرينوس هو مادة تزيد من تركيو شاردة الهيدرونيوم H3O+ عندما تنحل في الماء. أتى هذا التعريف من الانحلال المتوازن للماء إلى شوارد الهيدرونيوم والهيدوركسيد (OH–):
H2O(l) + H2O (l) → H3O+(aq) + OH–(aq)
في الماء النقي توجد معظم الجزيئات كـ H2O، ولكن عددا صغيرا من الجزيئات تنحل على وجه ثابت وتعود فتتحد. فالماء النقى معتدل مقارنة مع الحموضة أو القلوية لأن تركيز شوارد الهيدروكسيد متساوية دائما مع تركيز شوارد الهيدرونيوم. فالمادة القاعدية في نظر أرينوس هي أي جزيء يزيد من تركيز شاردة الهيدروكسيد عند انحلاله في الماء. لاحظ أن الكيميائيين يكتبون غالبا H+(aq) ويشيرون إلى شاردة الهيدروجين عندما يصفون تفاعل حمض-قاعدة لكن نواة الهيدورجين الحرة، البروتون، غير موجودة وحيدة في الماء، فهي توجد كشاردة الهيدرونيوم H3O+.
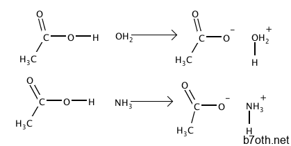
ومع أن مفهوم أرينوس كان مفيدا في توصيف العديد من التفاعلات، إلا أنه محدود الرؤية. ففي عام 1923، قام الكيميائيان يوهانس برونستد وتوماس مارتن لوري على وجه متفرق بتمييز تفاعلات حمض-قاعدة متضمنة مفهوم انتقال البروتون. وحمض برونستد-لوري (أو ببساطة حمض برونستد) هو صنف يعطي البروتون لأساس برونستد-لوري. إن لنظرية برونستد لوري حمض-قاعدة مزايا عديدة مقارنة بنظرية أرينوس. لنفرض المثال التالي لتفاعلات حمض الخل (CH3COOH)، أحد الحموض العضوية، الذي يعطي الخل طعمه المميز.

تصف كلتا النظريتان ببساطة التفاعل الأول: يتصرف CH3COOH كحمض أرينوس لأنه يتصرف كمصدر H3O+ عندما ينحل في الماء، ويتصرف كحمض برونستد بإعطائه بروتون إلى الماء. في المثال الثاني يتعرض CH3COOH للتحول نفسه، فهو يعطي بروتونا إلى الأمونيا (NH3)، ولكن لا يمكن وصفه باستخدام تعريف أرينوس للحمض لأن التفاعل لا يعطي الهيدرونيوم. يمكن أن تصف نظرية برونستد-لوري أيضا جزيءالمركبات الجريئية، بينما توجب نظرية أرينوس على المركب أن يكون أيونيا. يرتبط حمض كلور الماء والأمونياك تحت شروط متعددة ليشكلا النشادر NH4Cl. يتصرف المحلول المائي لحمض كلور الماء كالحمض ذاته، ويكون كشوارد الهيدرونيوم والكلور. التفاعل التالي يوضح محدودية تعريف أرينوس
1.) H3O+(aq) + Cl–(aq) + NH3 → Cl–(aq) + NH4+(aq)
2.) HCl(benzene) + NH3(benzene) → NH4Cl(s)
3.) HCl(g) + NH3(g) → NH4Cl(s)
وكما كانت الحالة في تفاعلات حمض الخل، فإن كلا التعريفين صالحان للمثال الأول، حيث يكون الماء هو المذيب وتتشكل شاردة الهيدرونيوم. التفاعلان التاليان لا يشملان تشكل شوارد ولكنهما يبقيان تفاعلان لانتقال البروتون. في التفاعل الثاني يتفاعل حمض كلور الماء مع الأمونياك ليشكلا النشادر الصلب في البنزين كمذيب وفي الثالثة يتفاعل حمض كلور الماء والأمونياك NH3 ليشكلا النشادر الصلب.
اقترح جيلبرت نيوتن لويس مفهوما ثالثا يتضمن تفاعلات ذات خصائص حمض-قاعدة والتي لا تتضمن انتقالا للبروتون. حمض لويس هو صنف يقبل زوج من الإلكترونات من صنف آخر لتشكل رابطة تساهمية، وبكلمة أخرى، قابل لزوج إلكتروني.
ومع أنها لم تكن أكثر النظريات عمومية، فإن تعريف برونستد لوري هو أكثر التعاريف استخداما. يمكن فهم قوة الحمض باستخدام هذا التعريف على أنها استقرار الهيدرونيوم والقاعدة المشتقة المنحلة خلال التفكك. ازدياد أن نقصان استقرار القاعدة المشتقة سيزيد أو ينقص حموضة المركب. يستخدم مفهوم الحموضة هذا في الحموض العضوية مثل الحموض الكربوكسيلية. ففي وصف الجزيء المداري (molecular orbital description)، حيث يتداخل مدار البروتون الفارغ مع زوج منعزل، يرتبط بتعريف لويس.
هنالك أنواع عديدة من الحوامض, منها ما هو طبيعي كالموجود في الليمون مثلا ومنها ما يصنع في المصانع أو المختبرات كحمض كلور الماء (HCl) أو كحمض الكبريت (H2SO4).
وأما الرقم الهيدروجيني (بالإنكليزية: “pH” ) فهو بين 0 و 14.
بالنسبة لوسائل قياس الحموضة فهي متعددة, منها ما هو غير دقيق كالمشعرات (عباد الشمس) ويتغير لونها ودرجة اللون فيها حسب نسبة الحموضة الموجودة بالمحلول. حيث يدل اللون الأخضر على قلوية خفيفة واللون الأزرق على قلوية عالية نتيجة لتصاعد تركيز الانيونات OH- وتكون قيمة ال pH أعلى من 7. في حين يدل اللون البرتقالي على حموضة خفيفة واللون الاحمر على حموضة عالية نتيجة تصاعد تركيز الكاتيونات H+ وتكون قيمة ال pH أدنى من 7. وهنالك مقاييس الباهاء التي تمتلك جهاز رصد إلكتروني يعطينا نسبة الحموضة مباشرة بعد وضعه بالمحلول الكيميائي، وتحتاج هذه المقاييس إلى معايرة باستعمال محلول ذو باهاء معياري مثل 4 و 7 و 10. وهذه السوائل المعيارية هي محاليل منظمة يمكن شرائها أو تصنيعها.
خصائص الحموض
- ذو طعم حامض.
- تعطي الحموض المركزة أو القوية شعور لاذع في الغشاء المخاطي.
- تغير ألوان مشعر الباهاء كالآتي: تصبح ورقة عباد الشمس حمراء، والمتيل البرتقالي يصبح أحمراً، ويصبح الفينول فتالئين عديم اللون.
- يتفاعل مع المعادن ليعطي أملاح المعادن والهيدروجين.
- يتفاعل مع كربونات المعادن ليعطي الماء، وثاني أكسيد الكربون، وملح.
- يتفاعل مع الأسس ليعطي ماء وملح.
- يتفاعل مع أكاسيد المعادن ليعطي ماء وملح.
- ناقل للكهرباء بحسب درجة إنحلاله.
- يعطي شوارد الهيدرونيوم في الماء [H3O+].
الحموض القوية والعديد من الحموض المركزة هي مواد آكلة، وقد تكون خطيرة، وتسبب حروقاً خطيرة حتى ولو كان التماس بسيطا. تعالج الحروق الناتجة عن الحموض عادة بغسلها بالماء الجاري بغزارة، يتبعها معالجة طبية مباشرة. وفي حالة الحموض المعدنية المركزة جدا كحمض الكبريت أو حمض الآزوت، فيجب أولا تنظيف الإصابة قبل الغسل بالماء، لأن مزج الحموض بالماء هو تفاعل ناشر للحرارة مما يسبب حرق حراري أيضا
القاعدة أو الأساس (بالإنجليزية: Base) بالكيمياء هي أي مركب كيميائي يمكنه استقبال أيونات الهيدروجين، بمعنى اخر هي مانحة الكترونات. تقوم القواعد بمعادلة الأحماض. المحلول القاعدي يكتسب أيون هيدروجين في تحول كيميائي حسب تعريف برونشتد لوري. من صفاة القواعد أنها صابونية الملمس وتنقسم القواعد إلى ثلاث أقسام وهم:- -أكاسيد أو هيدروكسيدات فلزات لا تذوب في الماء مثل أكسيد النحاس (CuO) وأكسيد الحديدوز (FeO) وكلوريد الحديديك (FeCl3). -أكاسيد وهيدروكسيدات فلزات تذوب في الماء مثل هيدروكسيد الصوديوم(NaOH)وهيدروكسيد البوتاسيوم(KOH)و أكسيد الصوديوم (Na2O)و أكسيد البوتاسيوم(K2O) ويسمى هذا القسم أو النوع باسم القلويات. -مواد ليست بأكاسيد ولا هيدروكسيدات ولكن لها نفس الخواص التي تميز القواعد مثل كربونات الصوديوم وكربونات البوتاسيوم وبيكربونات الصوديوم وبيكربونات البوتاسيوم.
تعد الصودا الكاوية أو هيدروكسيد الصوديوم(NaOH) أحد أهم القلويات وأقواها فهي تدخل في كثير من الصناعات مثل صناعة الصابون وتحضير مركب كربونات الصوديوم (Na2CO3) المستخدم في إزالة عسر الماء كما يمكن استخدامها في التميز بين الشقوق القاعدية في الأملاح مثل أملاح كلوريد الحديديك وكبريتات النحاس وأملاح الأمونيوم حيث إما أن يترسب راسب لونه مميز من هيدروكسيد الفلز الذى لا يذوب في الماء أو يتصاعد غاز مميز برائحته كما في حال أملاح الأمونيوم حيث يتصاعد غاز الأمونيا أو النشادر ذو الرائحة النفاذة كما أنها كسائر القواعد تتفاعل مع الأحماض حيث يتحد أيون الهيدروكسيد السالب منها مع أيون الهيدروجين الموجب من الحمض ويتكون الماء وهو ما يعرف بتفاعل التعادل وبذلك تختفى خواص الحمض والقاعدة H(aq)+OH(aq)==> H2O.
الخواص
- صابونية الملمس بفعل المادة الدهنية الموجودة على الجلد
- تصبح مادة حارقة أو كاوية للجسم إذا زاد تركيزها
- تصبح موصلة للكهرباء عند انحلالها في الماء (بفعل الايونات)
- تحول لون ورقة عباد الشمس إلى الازرق
- قوتها الهيدروجينية أكبر من 7 وتصبح في اوج تركيزها عند 14
- تتفاعل مع الاحماض لتكون املاحا
امثلة
ينحل الماء النقي (واحد في كل عشرة مليون جزيء)إلى ايون هيدروني وأيون هيدروكسيد بالمعادلة الكيميائية:
2H2O(l) → H3O+(aq) + OH−(aq)
حيث aq تعني في الحالة السائلة.
عند ذوبان القاعدة في الماء, تنحل القاعدة القوية هيدروكسيد الصوديوم إلى ايونات هيدروكسيد وصوديوم:
NaOH → Na+ + OH−
وبالمثل, يكون كلوريد الهيدروجين ايونات هيدرونيم وايونات كلوريد في الماء:
HCl + H2O → H3O+ + Cl−
و عند خلط المحلولين, تتجمع ايونات H3O+ مع ايونات OH− لتشكل جزيئات الماء:
H3O+ + OH− → 2 H2O
اذا تم اذابة كميات متساوية من NaOH و HCl, يتعادل الحمض مع القاعدي, تاركا ملح كلوريد الصوديوم في المحلول
قاعدة
القاعدة أو الأساس (بالإنجليزية: Base) بالكيمياء هي أي مركب كيميائي يمكنه استقبال أيونات الهيدروجين، بمعنى اخر هي مانحة الكترونات. تقوم القواعد بمعادلة الأحماض. المحلول القاعدي يكتسب أيون هيدروجين في تحول كيميائي حسب تعريف برونشتد لوري. من صفاة القواعد أنها صابونية الملمس وتنقسم القواعد إلى ثلاث أقسام وهم:- -أكاسيد أو هيدروكسيدات فلزات لا تذوب في الماء مثل أكسيد النحاس (CuO) وأكسيد الحديدوز (FeO) وكلوريد الحديديك (FeCl3). -أكاسيد وهيدروكسيدات فلزات تذوب في الماء مثل هيدروكسيد الصوديوم(NaOH)وهيدروكسيد البوتاسيوم(KOH)و أكسيد الصوديوم (Na2O)و أكسيد البوتاسيوم(K2O) ويسمى هذا القسم أو النوع باسم القلويات. -مواد ليست بأكاسيد ولا هيدروكسيدات ولكن لها نفس الخواص التي تميز القواعد مثل كربونات الصوديوم وكربونات البوتاسيوم وبيكربونات الصوديوم وبيكربونات البوتاسيوم.
تعد الصودا الكاوية أو هيدروكسيد الصوديوم(NaOH) أحد أهم القلويات وأقواها فهي تدخل في كثير من الصناعات مثل صناعة الصابون وتحضير مركب كربونات الصوديوم (Na2CO3) المستخدم في إزالة عسر الماء كما يمكن استخدامها في التميز بين الشقوق القاعدية في الأملاح مثل أملاح كلوريد الحديديك وكبريتات النحاس وأملاح الأمونيوم حيث إما أن يترسب راسب لونه مميز من هيدروكسيد الفلز الذى لا يذوب في الماء أو يتصاعد غاز مميز برائحته كما في حال أملاح الأمونيوم حيث يتصاعد غاز الأمونيا أو النشادر ذو الرائحة النفاذة كما أنها كسائر القواعد تتفاعل مع الأحماض حيث يتحد أيون الهيدروكسيد السالب منها مع أيون الهيدروجين الموجب من الحمض ويتكون الماء وهو ما يعرف بتفاعل التعادل وبذلك تختفى خواص الحمض والقاعدة H(aq)+OH(aq)==> H2O.
الخواص
صابونية الملمس بفعل المادة الدهنية الموجودة على الجلد
تصبح مادة حارقة أو كاوية للجسم إذا زاد تركيزها
تصبح موصلة للكهرباء عند انحلالها في الماء (بفعل الايونات)
تحول لون ورقة عباد الشمس إلى الازرق
قوتها الهيدروجينية أكبر من 7 وتصبح في اوج تركيزها عند 14
تتفاعل مع الاحماض لتكون املاحا
امثلة
ينحل الماء النقي (واحد في كل عشرة مليون جزيء)إلى ايون هيدروني وأيون هيدروكسيد بالمعادلة الكيميائية:
2H2O(l) → H3O+(aq) + OH−(aq)
حيث aq تعني في الحالة السائلة.
عند ذوبان القاعدة في الماء, تنحل القاعدة القوية هيدروكسيد الصوديوم إلى ايونات هيدروكسيد وصوديوم:
NaOH → Na+ + OH−
وبالمثل, يكون كلوريد الهيدروجين ايونات هيدرونيم وايونات كلوريد في الماء:
HCl + H2O → H3O+ + Cl−
و عند خلط المحلولين, تتجمع ايونات H3O+ مع ايونات OH− لتشكل جزيئات الماء:
H3O+ + OH− → 2 H2O
اذا تم اذابة كميات متساوية من NaOH و HCl, يتعادل الحمض مع القاعدي, تاركا ملح كلوريد الصوديوم في المحلول
مركبات أيونية
المركبات الأيونية هي عبارة عن تجمعات للأيونات السالبة (أنيونات) والأيونات الموجبة (كاتيونات) داخل شكل هندسي معين يطلق عليه اسم (بلورة).
إن رابطة الأيونات ببعضها في البلورة تدعى الرابطة الأيونية هي رابطة قوية، لذا فهي مقيدة أي لا تتحرك بحرية، في معظم الحالات تكون المركبات الأيونية صلبة أي كثافتها عالية، يوجد للمركبات الأيونية درجة انصهار وغليان عالية.
أملاح
الملح في الكيمياء هو ذلك المركب الكيميائي الذي ينتج من تفاعل تعادل بين حمض وقلوي بحيث يكون متعادل كهربيا، الملح قد يكون مركب عضوي أو غير عضوي.
خواص الاملاح
- لونها قد يكون شفافا (مثل ملح الطعام)، قاتما أو حتى معدنيا.
- طعمها قد يكون مالحا كما في ملح الطعام، سكري مثل أسيتات الرصاص السامة، حامض مثل بيكربونات البوتاسيوم، مر مثل كبريتات المغنيسيوم.
- ليس لها رائحة إذا كانت من مركبات الاحماض والقواعد القوية، وتكون لها بعض الرائحة إذا نتجت عن مركبات حامضية وقاعدية ضعيفة.
تحضيرها
يمكن تحضير الأملاح بطرق متعددة من أهمها:
- إزاحة الهيدروجين من حمض بواسطة فلز مثل تفاعل حمض هيدروكلوريك مع فلز الزنك (الخارصين) حيث يتشكل ملح كلوريد الزنك
Zn + 2HCl → ZnCl2 + H2
- الاتحاد المباشر بين فلز ولا فلز كما في تحضير كبريتيد الحديدوز.
Fe + S → FeS
- يزيح الحمض القوي الحمض الضعيف من أملاحه. على سبيل المثال حمض هيدروكلوريك أقوى من حمض الكربونيك، فيزيح حمض الكلور من الكربونات (أملاح حمض الكربونيك)، ويتشكل كلوريد الكالسيوم.
CaCO3 + 2HCl → CaCl2 +H2O + CO2
- تفاعل القواعد مع الحموض مثل تفاعل حمض كلور الماء مع هيدروكسيد الصوديوم لتحضير كلوريد الصوديوم (ملح الطعام).
NaOH + HCl → NaCl + H2O
أهم الأملاح واستخداماتها
| مقابس وحدة المعالجة المركزية | ||
| اسم الملح | صيغته | استخداماته |
| كربونات الصوديوم | Na2CO3 | يستعمل في مسحوق صابون الغسيل |
| بيكربونات الصوديوم | NaHCO3 | يستعمل في صناعة المعجنات |
| كبريتات الماغنيسيوم | MgSO4 | يستعمل كمليّن للمعدة |
| كلوريد الصوديوم | NaCl | يستخدم في الطعام |
- أكاسيد
الأكسيد هو مركب كيميائي للأكسجين مع عنصر كيميائي آخر. معظم القشرة الأرضية تتكون من أكاسيد. تتكون الأكاسيد من تفاعل العناصر مع الهواء, مثلا أكسدة فلز النحاس تعطي أكسيد النحاس الثنائي.
أيون الأكسيد السالب 2−O، هو القاعدة المترافقة لأيون الهيدروكسيد −OH، ويصادف ملاقاته في الأكاسيد الأيونية مثل أكسيد الكالسيوم.
الأكاسيد المعدنية



أكسيد ف(ف يحل محله اسم للعنصر فلزي)
الأمثلة :
Na2O: أكسيد الصوديوم و MgO : أكسيد المغنيسيوم.
الأكاسيد اللامعدنية
لمعرفة الاسم يجب حساب العلاقة بين عدد ذرات الأكسجين وعدد ذرات العنصر اللامعدني وإضافة البادئة المناسبة للعلاقة: ذرات أكسجين على ذرات العنصر اللامعدني
| العلاقة O/NM | البادئة باللاتينية | البادئة بالعربية |
| 1/2 | Hémi | نصفي |
| 1 | Mono | أحادي |
| 3/2 | hémitri ou sesqui | ضعف ثلثي |
| 2 | di | ثنائي |
| 5/2 | hémipent | ضعف خمسي |
| 3 | tri | ثلاثي |
| 7/2 | hémihept | ضعف سبعي |
| 4 | tétra | رباعي |
| 5 | pent | خماسي |
أمثلة :
Cl2O :أكسيد كلور النصفي{ ناتج العلاقة= 1/2.
2O3 : أكسيد الفوسفورالضعف ثلثي{ ناتج العلاقة=3/2.
P2O5 :أكسيد الفؤسفور الضعف خمسي{ ناتج العلاقة=5/2.
[عدل] الروابط مع مفهوم أكسدة
منشأ مفهوم الأكسدة راجع إلى :
- السلبية الكهربائية الكبيرة للأكسجين
- لكون الأكسجين العنصر الأكثر شيوعا على الأرض.
حين يتم اتحاد بين عنصر ما والأكسجين يكون انتقال الإلكترونات بشكل كامل حتى يحصل العنصر على شحنة يعادل 2e-.عدد أكسدة العناصر يعتمد على شحنة الكاتيون المحصل عليها لتحقيق هذا الشرط.
الاستخدامات كمواد

بعض الأكاسيد التي لها العديد من الخصائص مثل :
- شبه-الموصلات : FeO
- فائقة التوصيل : أكسيد النحاس الثالث YBa2Cu3O7
- مقاومات :CeO2 (درجة انصهار فوق 3000 درجة مئوية)، والألومينا، MgO
- محفزة : الألومينا (Al2O3)، الزيوليت القائم SiO2، وأكاسيد البلاتين.
- من المواد المركبة في :السيراميك والأسمنت والنظارات : وخاصة SiO2 في السيليكا والزجاج والحجر الجيري CaCO3 في الاسمنت.
- ملونات :TiO2 طلاء أبيض ومختلف اكاسيد الكرروم للزجاج.
- الطاقة النووية : تستخدم الوقود في صورة أكاسيد لأنها أكثر قابلية للإدارة في هذا الشكل (اليورانيوم يتفاعل تلقائيا مع الهواء في درجة حرارة معينة)
في تفاعلات كيميائية

أكسيد الحديد
- تحضير الفلزات(المعادن) :
- حديد بواسطة Fe2O3 et Fe3O4 (انظر فولاذ)
- الألومنيوم من الألومينا
- الهيدروجين انطلاقا من الماء
- والعديد من الفلزات مثل اليورانيوم، والتنغستن، والموليبدينوم، والقصدير، والتيتانيوم (المرور من TiCl4), والسيليسيوم.
- تفاعلات في الكيمياء العضوية :
- تفاعلات لإضافة مواد عضوية معدنية إلى CO2 أو كيتون
- تفاعل مع SO3 لإنتاج السلفونات.
- أكسدة ب MnO4–, CrO3
- الجفاف ب P2O5
- تحفز ،خصوصا بالألومينا والزيوليت
- الكيمياء المعدنية :
- مع الماء لإنتاج الحموض الأكسجينية مثل SO3 + H2O → H2SO4
- إنتاج قواعد قوية Na2O
- عوامل المؤكسدة / الناقل الأوكسجين : أكاسيد النيتروجين حامض النيتريك البرمنغانات مركب متبلر, البركلورات (انظر المتفجرات)
- ملونات الالعاب النارية (اكاسيد معدنية)
- علم الأحياء:
- حامض الفوسفوريك من اصل اكسيد الفوسفور يلعب دورا مهما كعنصر من تركيبة جزيئة الحمض النووي وناقل للطاقة كالأدينوساين
- مركبات عضوية
المركب العضوي هو أي مركب من المركبات الكيميائية التي تحتوى جزيئاتها على الكربون فيما عدا الكربيدات، الكربونات، ثنائي أكسيد الكربون. دراسة المركب العضوي يسمى الكيمياء العضوية.وعديد من هذه المركبات مثل البروتينات والليبيدات والكربوهيدرات ذات أهمية كبيرة في علم الكيمياء الحيوية.
بعض تصنيفات المركبات العضوية تتضمن المركبات الأليفاتية، وهي سلاسل كربون يمكن أن تكون ذات تركيب معدل عن طريق المجموعات الفعالة، الهيدروكربونات الأروماتية، والتي تحتوى على واحدة أو أكثر من حلقات البنزين، مركب غير متجانس الحلقة والتي تتضمن وجود ذرات غير الكربون في تكوين الحلقات، البوليمرات وهي سلاسل طويلة من الوحدات المتكررة.
الخط الفاص بين المركبات العضوية والغير عضوية هو إعتبارات تاريخية قديمة في العلوم، وبصفة عامة فإنه يمكن تعريف المركبات العضوية على أنها التي تحتوي على روابط كربون-هيدروجين، والمركبات الغير عضوية هي المركبات التي لا تحتوى على مثل هذه الروابط. وعلى هذا فإن حمض الكربونيك غير عضوي، بينما حمض الفورميك عضوي، أي أن الحمض الدهني الأول عضوي، على الرغم من أنه يمكن أن يطلق عليه “حمض الكربونوس” كما أن شكله اللا مائي “أنهيدريده” أول أكسيد الكربون غير عضوي.
المصطلح “عضوي” هو اسم تاريخي، يرجع للقرن التاسع عشر، عندما كان يعتقد أن المركبات العضوية يمكن أن تصنع فقط في داخل الكائنات الحية خلال عمليات تحول الطاقة بها.
ومعظم المركبات العضوية النقية يتم تصنيعها—وبالرغم من ذلك يستخدم المصطلح “عضوي” للتعبير عنها، (شاهد إنتاج عضوي.)
__________________________________
اضغط الرابط أدناه لتحميل البحث كامل ومنسق جاهز للطباعة
Download “المركبات-الكيميائية.docx” المركبات-الكيميائية.docx – Downloaded 63 times – 102.99 كيلوبايت



